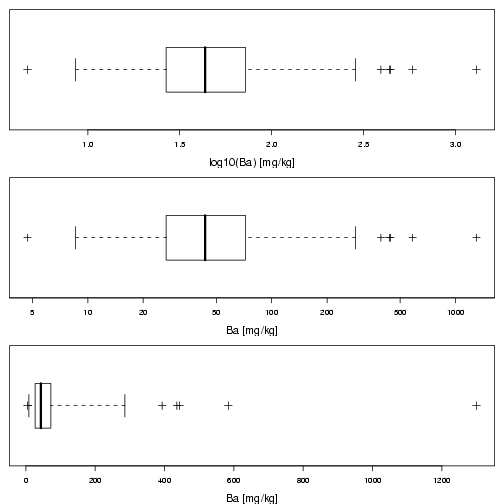
3.5.2 The log-Boxplot

# Fig. 3.14.: Boxplots for Ba in C-horizon
library(StatDA)
data(chorizon)
Ba=chorizon[,"Ba"]

pdf("fig-3-14.pdf",paper="special",width=7,height=7)
par(mar=c(4,1,1,1))
par(mfrow=c(3,1))

boxplot(log10(Ba),horizontal=T,xlab="log10(Ba) [mg/kg]",cex.lab=1.4,pch=3,
cex=1.5)

boxplot(log10(Ba),horizontal=T,xlab="Ba [mg/kg]",cex.lab=1.4,pch=3,xaxt="n")
axis(1,at=log10(a<-sort(c((10^(-50:50))%*%t(c(2,5,10))))),labels=a,cex=1.5)

boxplotlog((Ba),horizontal=T,xlab="Ba [mg/kg]",cex.lab=1.4,pch=3,cex=1.5)
dev.off()